-
[리액트-신입]2일차 - 팀 개발 프로세스 이해 I편( ver 22.07.01)신입개발자-교육/리액트(React) 2022. 7. 11. 15:37

DEVELOP PROCESS 1.git issue 기반 개발 프로세스 개요
- 이슈(issue)는 프로젝트 관리 관점에서 이미 발생된 위험(문제)를 의미함
- 이슈는 발생된 문제이기 때문에 반드시 해결해야 프로젝트가 성공할 수 있음
- 이건 개념을 개발 프로세스에 도입한 것이 issue 기반 개발 프로세스임
- 오픈소스 프로젝트에서 널리 사용되고 있음
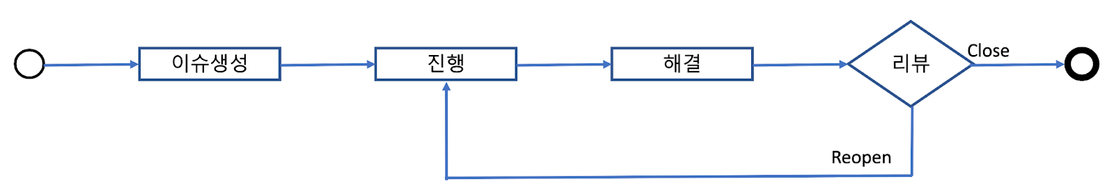
2. git issue 프로세스

git issue 기반 개발 프로세스 - 리뷰는 해당 스프린트가 종료될때 진행함
3. 이슈의 종류 및 생성 템플릿 사용
1) 이슈의 종류
[예시]feature - 신기능, 작업후 develop와 병합 후 삭제 hotfix - main(이미출시된 버전)에서 수정할 작업 - 대부분 오류패치 bugfix - develop나 staging에서 발생한 오류(버그)를 수정하기 위한 패치 
2) 이슈 템플릿
### 개요
### 작업내용 및 테스트 시나리오
### 참고[예]
→ 신규의 경우 이슈 레이블(상태)를 feature로 생성함
→ 원인과 해결방안, 수정한 부분 (수정 파일은 필수, 함수나 수정 로직위치까지는 선택)
→ 해당 문제의 해결을 확인할 수 있는 테스트 시나리오 또는 유저 스토리
### 개요
고객이 로그인을 앱 실행시 자동 로그인 기능을 요청함
또는
현재 로그인시 앱이 죽는 문제 발생하여 원인은 변수선언이 잘못된것으로 판단하여 수정하였음
### 작업내용 및 테스트 시나리오
1. 수정작업
UserLogin.js의 logIn 함수를 수정함
2. 테스트 방법
앱을 실행후 자동 로그인으로 로그인되고 홈화면으로 이동하는 지 확인
### 참고
JWT : jwt.io
React 홈페이지의 hooks 부분 참고4. github를 활용한 issue 생성 및 관리
→ 사내 표준 이슈관리 프로그램이 있으면 해당 프로그램 사용 (예: 지라, 레드마인 등…)
1) issues 탭 확인

2) 사전 작업 - 관리자역할
- issue용 템플릿 작성
- labels 정의
- Milestone 설정
→ 서비스 관점에서 일관 배포할 지점 (버전 정보)[ issue용 템플릿 작성 ]
- .github 하위에 ISSUE_TEMPLATE 폴더에 .md 파일형태로 템플릿이 생성됨
[labels 정의 ]
[Milestone 설정]3) “New Issue”를 통해서 issue를 생성

→ Labels, Milestone, Assignees은 반드시 설정함
→이슈를 생성하면 “제목 #이슈번호” (예: 자동로그인 #1)과 같이 이슈가 생성됨
→ 여기서 #뒤의 이슈번호가 관리의 기준이 됨
4) 생성된 이슈 번호를 기반으로 brach 생성

'신입개발자-교육 > 리액트(React)' 카테고리의 다른 글
[리액트-신입]2일차 - 팀 개발 프로세스 이해 II편( ver 22.07.01) (0) 2022.07.11 [리액트-신입]1일차 - 개발환경설정- II편( ver 22.07.01) (0) 2022.07.04 [리액트-신입]1일차 - 개발환경설정- I편( ver 22.07.01) (0) 2022.07.04